-
-
-
Tổng tiền thanh toán:
-
Máy đo huyết áp với Arduino
16/07/2019
Ứng dụng công nghệ vào y tế đang phát triển cực mạch. Nhiều công nghệ phát triển nhằm giúp bác sĩ người bệnh có thể phát hiện được dấu hiệu của các loại bệnh sớm. Việc ứng dụng điện tử vào lĩnh vực y tế còn khá mới ở việt nam. Nhưng ở các nước tiên tiến việc ứng dụng điện tử vào y tế đã đi trước chúng ta nhiều năm. Với mong muốn thoả mãn khát vọng cá nhân, Và mong muốn tạo ra một thiết bị y tế giúp cho việc chuẩn đoán được chính xác hơn. Tôi và nhóm của tôi đã thiết kế một máy đo huyết áp sử dụng cảm biến áp suất và board mạch Arduino làm linh kiện chính cho dự án này.
1
I. CHUẨN BỊ
PHẦN CỨNG
1. board Arduino nano x1
2. Cảm biến áp suất MPS20N0040D DIP6 x1
3. Opamp LM741 x2
4. IC khuếch đại đo (instrumentation amplifier) AD620
5. Điện trở: 4k7 x1, 1k x2, 64k x2, 10k x2, 333k x1, 120k x1, 470 x1
6. Tụ điện 10uF x4, 47uF x3, 10nF x1, 24nF x2, 200nF x3
7. Transistor TIP 41C x2
8. Biến trở 10k
9. LCD 16x2A
10. Còi chíp 5v
11. IC ổn áp 7805
12. IC tạo điện áp -5V ICL7660
13. Diode 1N4007 x5
14. Jack DC x1
15. transistor 2N222 x1
16. Motor bơm nén khí
17. Phíp đồng 11cm x8cm
18. Ống hơi nối giữa bao khí và cảm biến áp suất
19. Van xả khí chậm
2
II. Nguyên lý hoạt động và cấu tạo của máy đo huyết áp
Cấu tạo: Cấu tạo cơ bản của máy huyết áp kế bao gồm 1 bơm khí, 1 cảm biến áp suất và 1 túi hơi. Đơn vị huyết áp là mmHg.
Nguyên lý hoạt động khi đo huyết áp:
Khi đo huyết áp, túi hơi được bao lấy cánh tay và bơm phồng lên đến 1 áp lực có thể cản trở dòng máu ở động mạch đi qua cánh tay. Sau đó, xả áp lực trong túi hơi và trên động mạch giảm dần, khi áp lực giảm dần, Máy đo huyết áp sẽ có nhiệm vụ phát hiện các dao động do mạch máu tác dụng lên túi hơi làm thay đổi huyết áp , áp lực mà máy phát hiện được lần đầu là huyết áp tâm thu, khi áp lực túi hơi giảm hơn nữa, áp lực tại đó mạch ngưng là huyết áp tâm trương và nguyên lý hoạt động của huyết áp kế là đo gián tiếp dao động của áp lực máu.
3
III. CHI TIẾT THIẾT KẾ
1. Sơ đồ khối tổng quát

2. Mạch điện
2.1 Mạch nguồn
Mạch nguồn có chức năng cung cấp năng lượng cho mạch hoạt động với 2 mức điện áp +5V và -5V với nguồn đầu vào của mạch nguồn là nguồn điện +9V DC

2.2 Khối giao tiếp tải (motor, valve xả khí)
Khối này sẽ nhận các lệnh từ MCU điều khiển motor valve xả khí

2.3 Khối điều khiển và hiển thị
Đây là linh hồn của thiết bị sẽ nhận tín hiệu từ khối cảm biến để nhận biết tính toán các

2.4 Khối cảm biến mạch khuếch đại mạch lọc

3. Chi tiết khối cảm biến
3.1. Bộ khuếch đại đo

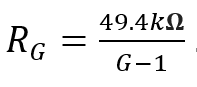
Vì điện áp đầu ra của bộ chuyển đổi áp suất rất nhỏ nên ta phải khuyếch đại tín hiệu để xử lý. Chúng ta sẽ sử dụng bộ khuếch đại IC AD620. Điện trở được sử dụng để xác định độ lợi của bộ khuếch đại theo phương trình
.
Do chúng ta cần độ lợi đạt được là khoảng 105, chúng ta chọn điện trở là 470 . Điều này sẽ cho chúng ta đạt được độ lợi là 105 theo phương trình. Tuy nhiên, bằng thực nghiệm đã đo được độ lợi toàn mạch, và độ lợi đo được là 110. Sơ đồ của bộ khuếch đại như hình vẽ.
3.2 Khối mạch lọc thông dải

Bộ lọc băng tần được thiết kế gồm hai tầng. Lý do cho việc sử dụng hai tầng là tổng thể bộ lọc sẽ cung cấp một tăng lớn và đáp ứng tần số của bộ lọc sẽ được thực hiện tốt hơn việc chỉ sử dụng một tầng duy nhất. Phương pháp này sẽ cải thiện tỷ số tín hiệu nhiễu ở đầu ra. Sơ đồ cho cả hai bộ lọc được thể hiện trong hình trên.
Thông số bộ lọc


Độ lợi sau cùng là 399.6. Bao gồm độ lợi từ bộ khuếch đại DC, độ lợi AC của mạch là . Sử dụng tần số cắt cao và tần số cắt thấp sẽ ta có dạng sóng AC rõ ràng hơn.
3.3 AC coupling stage

AC coupling được sử dụng để cung cấp một lượng điện áp DC. Chúng ta sẽ dịch mức DC của tín hiệu để xác định vị trí ở khoảng một nửa Vdd = 2,5 V. Với điện áp này sẽ giúp chúng ta dễ dàng xử lý tín hiệu AC trên bộ ADC trong bộ vi điều khiển hơn. Đầu ra AC từ giai đoạn này sẽ được chuyển sang bộ chuyển đổi ADC trong bộ vi điều khiển Arduino Nano.
4
Thi công mạch điện
Với những chi tiết đã trình bày ở trên. thì mình và đội của mình đã thiết kế chúng trên 1 board mạch. file mạch in và file asembly mình đã gom lại 1 file.. Các bạn chỉ cần tải về và thi công thôi
Download link (dự phòng)
5
Code cho máy đo huyết áp.
Vì trình độ lập trình của mình còn hạn hẹp. Nên mình xin không giải thích nhiều về phần này !
CODE ARDUINO : Download code (dự phòng)
LƯU ĐỒ GIẢI THUẬT

6
Hoàn hành sản phẩm
Một vài hình ảnh của sản phẩm sau khi hoàn thành !

